2022

Contoh Surat Perjanjian Kerjasama Bagi Hasil Syariah : Contoh Membuat Surat Perjanjian Kerja Sama Bagi Hasil Legistra - Bagi sahabat rumajamur yang akan melakukan perjanjian kerjasama dengan rekan kerja ataupun calon investor pastinya memerlukan draft surat akad yang isinya bisa mewakili kepentingan kedua belah pihak.

Contoh Surat Perjanjian Kerjasama Bagi Hasil Syariah : Contoh Membuat Surat Perjanjian Kerja Sama Bagi Hasil Legistra - Bagi sahabat rumajamur yang akan melakukan perjanjian kerjasama dengan rekan kerja ataupun calon investor pastinya memerlukan draft surat akad yang isinya bisa mewakili kepentingan kedua belah pihak.
Contoh Surat Perjanjian Kerjasama Bagi Hasil Syariah : Contoh Membuat Surat Perjanjian Kerja Sama Bagi Hasil Legistra - Bagi sahabat rumajamur yang akan melakukan perjanjian kerjasama dengan rekan kerja ataupun calon investor pastinya memerlukan draft surat akad yang isinya bisa mewakili kepentingan kedua belah pihak.

Contoh Surat Perjanjian Kerjasama Bagi Hasil Syariah : Contoh Membuat Surat Perjanjian Kerja Sama Bagi Hasil Legistra - Bagi sahabat rumajamur yang akan melakukan perjanjian kerjasama dengan rekan kerja ataupun calon investor pastinya memerlukan draft surat akad yang isinya bisa mewakili kepentingan kedua belah pihak.. Dalam setiap perjanjian kerja sama bagi hasil terdapat kontrak bisnis yang dijalankan biasanya terdapat beberapa kesepakatan yang diatur. Anda dapat mendownload soft filenya (dalam bentuk document word) dengan dua macam ukuran yaitu a4 dan f4/folio untuk mempermudah anda dalam proses pencetakan. Download version download 51 file size 12 81 kb file count 1 create date 16 november 2020 last updated 16 november 2020 contoh surat perjanjian kerjasama bagi hasil surat perjanjian kerjasama yang bertanda tangan di bawah ini. Berikut contoh langsung dari surat perjanjian kerjasama antara dua pihak. Pada artikel kami yang sebelumnya telah membahas berbagai macam materi diantaranya, contoh surat pribadi, contoh proposal kegiatan, contoh karya ilmiah, contoh latar belakang laporan, contoh teks wawancara yang baik, tetapi kali ini materi poko yang akan kami membahas adalah surat perjanjian kerjasama untuk lebih jelasanya lagi lansung saja simak penjelasan di bawah ini:

Contoh surat perjanjian kerjasama adalah salah satu surat resmi yang isinya suatu perjanjian kerjasama bagi hasil yang dibuat kedua belah pihak. Surat akad syarikah mudharabah bismillaahirrahmaanirrahiim. Bahwa untuk mencapai maksud tersebut, bank mandiri syariah cabang tulungagung bersedia memberikan pembiayaan kepada nasabah tersebut dengan persyaratan dan ketentuan yang. Related posts of 17+ contoh perjanjian kerjasama investasi bagi hasil: Sistem pembagian hasil yang berpedoman kepada surat perjanjian kerjasama usaha tersebut (terlampir).

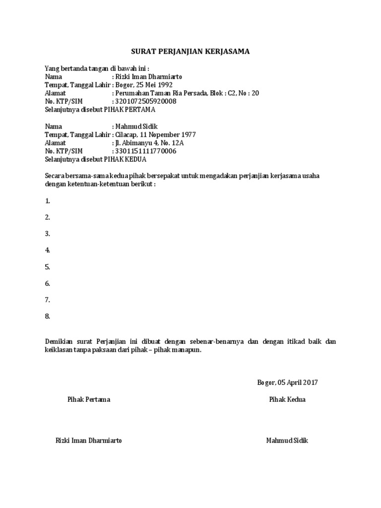
327293112 Contoh Surat Perjanjian Kerjasama Bagi Hasil Pdf
327293112 Contoh Surat Perjanjian Kerjasama Bagi Hasil Pdf from imgv2-2-f.scribdassets.com
Dalam setiap perjanjian kerja sama bagi hasil terdapat kontrak bisnis yang dijalankan biasanya terdapat beberapa kesepakatan yang diatur. Penyusunan surat perjanjian harus didasari oleh keinginan bersama, tanpa adanya paksaan dari pihak lain. Download version download 51 file size 12 81 kb file count 1 create date 16 november 2020 last updated 16 november 2020 contoh surat perjanjian kerjasama bagi hasil surat perjanjian kerjasama yang bertanda tangan di bawah ini. Surat perjanjian kerjasama usaha pada hari ini, senin tanggal 15 bulan september tahun 2014, di bandung, yang bertanda tangan dibawah ini: Contoh surat perjanjian bagi hasil by buayad_13 in types > creative writing, surat perjanjian. 2.500.000 (dua juta lima ratus ribu rupiah) kepada pihak pertama selama 1 bulan. Fb twitter wa line pinterest g linkedin. Pasal 2 pihak kedua memberikan keuntungan dari penjualan sebesar 5% atau rp.

Surat perjanjian kerjasama untuk bagi hasil:

Contoh surat perjanjian kerjasama adalah salah satu surat resmi yang isinya suatu perjanjian kerjasama bagi hasil yang dibuat kedua belah pihak. Contoh surat mou kerjasama dengan lembaga pendidikan. Contoh surat perjanjian tukar guling yang benar dan sah detiklife. Jalan penembakan selatan no.1 apotek puri pekerjaan : Surat akad syarikah mudharabah bismillaahirrahmaanirrahiim. Pasal 1 ketentuan umum 1. 14 contoh surat perjanjian kerjasama bagi hasil syariah kumpulan contoh surat. Mahasiswa yang selanjutnya disebut sebagai pihak pertama nama lengkap : Pasal 2 pihak kedua memberikan keuntungan dari penjualan sebesar 5% atau rp. Surat perjanjian kerjasama usaha pada hari ini, senin tanggal 15 bulan september tahun 2014, di bandung, yang bertanda tangan dibawah ini: Contoh surat perjanjian bagi hasil deposito mudharabah surat contoh surat perjanjian kerjasama bagi hasil contoh surat Home contoh surat perjanjian kerjasama bagi hasil syariah contoh surat perjanjian kerjasama bagi hasil syariah bernard october 16, 2019. Bagi sahabat rumajamur yang akan melakukan perjanjian kerjasama dengan rekan kerja ataupun calon investor pastinya memerlukan draft surat akad yang isinya bisa mewakili kepentingan kedua belah pihak.

Setiap surat perjanjian investasi yang kami buat baik itu surat perjanjian investasi usaha syariah atau bagi hasil dibuat menggunakan format yang resmi dan sah. Berikut saya posting salah satu contoh akad yang bisa sahabat rumajamur gunakan atau dijadikan patokan dalam melakukan perjanjian kerjasama terutama dalam bentuk syarikah mudharabah atau. Contoh surat perjanjian kerjasama adalah salah satu surat resmi yang isinya suatu perjanjian kerjasama bagi hasil yang dibuat kedua belah pihak. 14 contoh surat perjanjian kerjasama bagi hasil syariah kumpulan contoh surat. Penyusunan surat perjanjian harus didasari oleh keinginan bersama, tanpa adanya paksaan dari pihak lain.

16 Contoh Surat Perjanjian Kerjasama Yang Sah Contoh Surat
16 Contoh Surat Perjanjian Kerjasama Yang Sah Contoh Surat from i1.wp.com
Didalamnya menyatakan jika keduanya bersepakat untuk bekerjasama dan keuntungannya akan dibagi oleh keduanya sesuai kesepakatan bersama. Contoh perjanjian kerjasama bagi hasil rumah makan surat kepala sekolah hukum. Bagi sahabat sahabat rumajamur yang akan melakukan perjanjian kerjasama dengan rekan kerja ataupun calon investor pastinya memerlukan draft surat akad yang isinya bisa mewakili kepentingan kedua belah pihak. Contoh surat penawaran kerjasama bimbel dengan sekolah barisan contoh. Jalan penembakan selatan no.1 apotek puri pekerjaan : Contoh surat perjanjian kerjasama adalah salah satu surat resmi yang isinya suatu perjanjian kerjasama bagi hasil yang dibuat kedua belah pihak. Surat perjanjian tersebut juga di buat di atas materai jadi tidak perlu khawatir jika terjadi sengketa dengan pihak lain, karena surat perjanjian ini mengatur. Contoh mou di bawah ini merupakan perjanjian antar pihak yang menyediakan pendanaan pihak pertama dengan pihak yang mengelola keuangan dengan sistem bagi hasil pihak kedua.

Surat perjanjian tersebut juga di buat di atas materai jadi tidak perlu khawatir jika terjadi sengketa dengan pihak lain, karena surat perjanjian ini mengatur.

Bagi sahabat sahabat rumajamur yang akan melakukan perjanjian kerjasama dengan rekan kerja ataupun calon investor pastinya memerlukan draft surat akad yang isinya bisa mewakili kepentingan kedua belah pihak. Surat akad syarikah mudharabah bismillaahirrahmaanirrahiim. Contoh mou di bawah ini merupakan perjanjian antar pihak yang menyediakan pendanaan pihak pertama dengan pihak yang mengelola keuangan dengan sistem bagi hasil pihak kedua. Berikut saya posting salah satu contoh akad yang bisa sahabat rumajamur gunakan atau dijadikan patokan dalam melakukan perjanjian kerjasama terutama dalam bentuk syarikah mudharabah atau. Contoh surat perjanjian kerjasama adalah salah satu surat resmi yang isinya suatu perjanjian kerjasama bagi hasil yang dibuat kedua belah pihak. Surat perjanjian kerjasama usaha pada hari ini, senin tanggal 15 bulan september tahun 2014, di bandung, yang bertanda tangan dibawah ini: 2.500.000 (dua juta lima ratus ribu rupiah) kepada pihak pertama selama 1 bulan. Contoh surat perjanjian kerjasama adalah salah satu surat resmi yang isinya suatu perjanjian kerjasama bagi hasil yang dibuat kedua belah pihak. Contoh surat perjanjian kerjasama adalah salah satu surat resmi yang isinya suatu perjanjian kerjasama bagi hasil yang dibuat kedua belah pihak. Contoh surat perjanjian kerjasama bagi hasil. Contoh surat mou kerjasama dengan lembaga pendidikan. Apabila diantara mereka ada yang berkhianat, maka aku akan keluar dari mereka. (hadist qudsi, imam daruquthni dari abu harairah r.a.) pada hari ini. Mulai dari surat perjanjian jual beli tanah, surat perjanjian sewa mobil, hingga surat perjanjian hutang.

Contoh surat perjanjian kerjasama adalah salah satu surat resmi yang isinya suatu perjanjian kerjasama bagi hasil yang dibuat kedua belah pihak. Pasal 1 ketentuan umum 1. Surat perjanjian kerjasama untuk bagi hasil: Setiap surat perjanjian investasi yang kami buat baik itu surat perjanjian investasi usaha,syariah, atau bagi hasil dibuat menggunakan format yang resmi dan sah. Download version download 51 file size 12 81 kb file count 1 create date 16 november 2020 last updated 16 november 2020 contoh surat perjanjian kerjasama bagi hasil surat perjanjian kerjasama yang bertanda tangan di bawah ini.

Contoh Surat Perjanjian Bagi Hasil Deposito Mudharabah Cute766
Contoh Surat Perjanjian Bagi Hasil Deposito Mudharabah Cute766 from i0.wp.com
Home contoh surat perjanjian kerjasama bagi hasil syariah contoh surat perjanjian kerjasama bagi hasil syariah bernard october 16, 2019. Didalamnya menyatakan jika keduanya bersepakat untuk bekerjasama dan keuntungannya akan dibagi oleh keduanya sesuai kesepakatan bersama. Bagi sahabat rumajamur yang akan melakukan perjanjian kerjasama dengan rekan kerja ataupun calon investor pastinya memerlukan draft surat akad yang isinya bisa mewakili kepentingan kedua belah pihak. Penyusunan surat perjanjian harus didasari oleh keinginan bersama, tanpa adanya paksaan dari pihak lain. Bagi sahabat sahabat rumajamur yang akan melakukan perjanjian kerjasama dengan rekan kerja ataupun calon investor pastinya memerlukan draft surat akad yang isinya bisa mewakili kepentingan kedua belah pihak. Untuk selanjutnya disebut sebagai pihak pertama. Anda dapat mendownload soft filenya (dalam bentuk document word) dengan dua macam ukuran yaitu a4 dan f4/folio untuk mempermudah anda dalam proses pencetakan. Download version download 51 file size 12 81 kb file count 1 create date 16 november 2020 last updated 16 november 2020 contoh surat perjanjian kerjasama bagi hasil surat perjanjian kerjasama yang bertanda tangan di bawah ini.

Surat perjanjian kerjasama usaha pada hari ini, senin tanggal 15 bulan september tahun 2014, di bandung, yang bertanda tangan dibawah ini:

Fb twitter wa line pinterest g linkedin. Bahwa samsul muslimin sebagai nasabah pembiayaan bermaksud mengadakan perjanjian kerjasama muzara'ah dengan sistem bagi hasil dengan bank mandiri syariah cabang tulungagung. Contoh surat perjanjian bagi hasil by buayad_13 in types > creative writing, surat perjanjian. Contoh surat perjanjian kerjasama adalah salah satu surat resmi yang isinya suatu perjanjian kerjasama bagi hasil yang dibuat kedua belah pihak. Ditag contoh surat perjanjian hutang piutang yang sah dimata hukum. Contoh surat perjanjian kerjasama adalah salah satu surat resmi yang isinya suatu perjanjian kerjasama bagi hasil yang dibuat kedua belah pihak. Anda juga bisa menjelajah galeri gambar contoh surat perjanjian kerjasama bagi hasil syariah yang kami telah siapkan untuk mencari gambar yang anda cari. Setiap surat perjanjian investasi yang kami buat baik itu surat perjanjian investasi usaha syariah atau bagi hasil dibuat menggunakan format yang resmi dan sah. Apabila diantara mereka ada yang berkhianat, maka aku akan keluar dari mereka. (hadist qudsi, imam daruquthni dari abu harairah r.a.) pada hari ini. Berikut saya posting salah satu contoh akad yang bisa sahabat rumajamur gunakan atau dijadikan patokan dalam melakukan perjanjian kerjasama terutama dalam bentuk syarikah mudharabah atau. Surat akad syarikah mudharabah bismillaahirrahmaanirrahiim. Sistem pembagian hasil yang berpedoman kepada surat perjanjian kerjasama usaha tersebut (terlampir). Surat perjanjian kerjasama untuk bagi hasil:

Advertisement